]
---
# Sobrevivientes
.pull-left[
.small[
```r
plot1 <-ggplot(tt,
aes(survived, fill=survived)) +
geom_bar() +
geom_text(
aes(label = scales::percent((..count..)/sum(..count..))),
stat='count',size=10, vjust = 3) +
theme(legend.position="none",
text = element_text(size = 30),
axis.title=element_blank())
ggsave(plot1, file="../../files/img/sobrevivientes.jpg")
```
]
]
.pull-right[

]
---
# Sexo
.center[

]
---
## Sobrevivencia / sexo
.pull-left[

]
.pull-right[
.medium[
```
##
## Hombre Mujer
## No sobrevive 0.79 0.25
## Sobrevive 0.21 0.75
```
El 75% de las mujeres sobrevive, mientras el 25% no sobrevive.
]
]
---
class: inverse, middle, center
## ¿En qué medida la probabilidad de sobrevivir depende del sexo?
## ¿Es esta probabilidad estadísticamente significativa?
---
# Alternativas:
- tabla de contingencia, `\(\chi^2\)`
- análisis de tendencia general, significación estadística
- pero ... poco parsimoniosa, y no hay control estadístico
- ¿Aprovechar las ventajas del modelo de regresión?
- expresar la relación en un número ( `\(\beta\)` )
- inferencia
- control estadístico (parcialización)
---
# Regresión
### Modelando la probabilidad de sobrevivir con regresión OLS
.small[
```r
reg_tit=lm(survived ~ sex, data= tt)
```
```
## Warning in model.response(mf, "numeric"): using type = "numeric" with a factor response will be ignored
```
```
## Warning in Ops.factor(y, z$residuals): '-' not meaningful for factors
```
]
-> Advertencia de R
---
## Modelo de probabilidad lineal
.pull-left[
.small[
Se da este nombre a los modelos de regresión donde una variable dependiente dicotómica se estima de manera tradicional (mínimos cuadrados ordinarios)
```r
str(tt$survived)
```
```
## Factor w/ 2 levels "No sobrevive",..: 2 2 1 1 1 2 2 1 2 1 ...
```
```r
tt <- tt %>% mutate(survived_n=recode(survived,
"No sobrevive"=0, "Sobrevive"=1))
str(tt$survived_n)
```
```
## num [1:1046] 1 1 0 0 0 1 1 0 1 0 ...
```
]
]
.pull-right[
.small[
```r
reg_tit=lm(survived_n ~ sex, data=tt)
```
<table style="border-collapse:collapse; border:none;">
<tr>
<th style="border-top: double; text-align:center; font-style:normal; font-weight:bold; padding:0.2cm; text-align:left; "> </th>
<th colspan="2" style="border-top: double; text-align:center; font-style:normal; font-weight:bold; padding:0.2cm; ">Modelo 1</th>
</tr>
<tr>
<td style=" text-align:center; border-bottom:1px solid; font-style:italic; font-weight:normal; text-align:left; ">Predictores</td>
<td style=" text-align:center; border-bottom:1px solid; font-style:italic; font-weight:normal; ">β</td>
<td style=" text-align:center; border-bottom:1px solid; font-style:italic; font-weight:normal; ">std. Error</td>
</tr>
<tr>
<td style=" padding:0.2cm; text-align:left; vertical-align:top; text-align:left; ">(Intercept)</td>
<td style=" padding:0.2cm; text-align:left; vertical-align:top; text-align:center; ">0.205 <sup>***</sup></td>
<td style=" padding:0.2cm; text-align:left; vertical-align:top; text-align:center; ">0.016</td>
</tr>
<tr>
<td style=" padding:0.2cm; text-align:left; vertical-align:top; text-align:left; ">sex [Mujer]</td>
<td style=" padding:0.2cm; text-align:left; vertical-align:top; text-align:center; ">0.547 <sup>***</sup></td>
<td style=" padding:0.2cm; text-align:left; vertical-align:top; text-align:center; ">0.027</td>
</tr>
<tr>
<td style=" padding:0.2cm; text-align:left; vertical-align:top; text-align:left; padding-top:0.1cm; padding-bottom:0.1cm; border-top:1px solid;">Observations</td>
<td style=" padding:0.2cm; text-align:left; vertical-align:top; padding-top:0.1cm; padding-bottom:0.1cm; text-align:left; border-top:1px solid;" colspan="2">1046</td>
</tr>
<tr>
<td style=" padding:0.2cm; text-align:left; vertical-align:top; text-align:left; padding-top:0.1cm; padding-bottom:0.1cm;">R<sup>2</sup> / R<sup>2</sup> adjusted</td>
<td style=" padding:0.2cm; text-align:left; vertical-align:top; padding-top:0.1cm; padding-bottom:0.1cm; text-align:left;" colspan="2">0.289 / 0.289</td>
</tr>
<tr>
<td colspan="3" style="font-style:italic; border-top:double black; text-align:right;">* p<0.05 ** p<0.01 *** p<0.001</td>
</tr>
</table>
]
]
---
## Significado coeficientes modelo probabilidad lineal
.pull-left[
**Promedio de supervivencia por sexo**
<!-- html table generated in R 4.3.2 by xtable 1.8-4 package -->
<!-- Fri Jul 4 01:50:23 2025 -->
<table border=1>
<tr> <th> </th> <th> Mean </th> <th> N </th> <th> Std. Dev. </th> </tr>
<tr> <td> Hombre </td> <td align="right"> 0.21 </td> <td align="right"> 658 </td> <td align="right"> 0.40 </td> </tr>
<tr> <td> Mujer </td> <td align="right"> 0.75 </td> <td align="right"> 388 </td> <td align="right"> 0.43 </td> </tr>
<tr> <td> Total </td> <td align="right"> 0.41 </td> <td align="right"> 1046 </td> <td align="right"> 0.49 </td> </tr>
</table>
]
.pull-right[
- El valor del intercepto=0.205 (0.21 aproximado) es el valor predicho para la categoría de referencia "hombre".
- El `\(\beta\)` de sexo (mujer) =0.547 sumado al intercepto equivale al porcentaje de supervivencia de mujeres]
---
class: roja, middle
# funciona ... .yellow[PERO]
---
## Limitaciones modelo de regresión lineal para dependientes dicotómicas
.center[

]
---
## Problemas ....
.center[

]
---
# Problemas ...
.pull-left[
Si hubieran sobrevivido todos los menores de 20 y muerto todos los mayores de 40 ...
]
.pull-right[

]
---
class: inverse
## Problemas regresión tradicional (OLS) para dependientes dicotómicas
- ### Eventuales predicciones fuera del rango de probabilidades posibles
- ### Ajuste a los datos / residuos: ¿Es la mejor aproximación una recta?
---
class: roja, right
## La regresión .yellow[logística] ofrece una solución a los problemas del rango de predicciones y de ajuste a los datos del modelo de probabilidad lineal
--
## Se logra mediante una _transformación_ de lo(s) beta(s) a .yellow[coeficientes *LOGIT*]
]
---
class: middle center

---
## OLS vs Logit
.pull-left[

]
.pull-right[

]
---
# ¿Qué es el logit?
--
## Es el logaritmo de los odds
--
# ... qué son los odds?
--
## Una razón de *probabilidades*
--
## Para llegar hasta regresión logística, hay que pasar por los odds (chances), y los odds-ratio (proporción de chances)
---
# Odds
- **odds** (chances): probabilidad de que algo ocurra dividido por la probabilidad de que no ocurra
`$$Odds=\frac{p}{1-p}$$`
--
.medium[
Ej. Titanic:
- 427 sobrevivientes (41%), 619 muertos (59%)
`$$Odds_{sobrevivir}=427/619=0.41/0.59=0.69$$`
.center[**Es decir, las chances de sobrevivir son de 0.69**]
]
---
# Odds
- Odds de 1 significan chances iguales, menores a 1 son negativas y mayores a 1 son positivas
- _Propiedad simétrica_:
- un `\(Odd=4\)` es una asociación positiva proporcional a la asociación negativa `\(Odd=1/4=0.25\)`
---
.pull-left[
## Odds de superviviencia para los hombres
.medium[
```
##
## Hombre Mujer
## No sobrevive 523 96
## Sobrevive 135 292
```
]
.medium[
```
##
## Hombre Mujer
## No sobrevive 0.79 0.25
## Sobrevive 0.21 0.75
```
El 21% de los hombres sobrevive mientras el 79% no sobrevive.
]
]
--
.pull-right[
.medium[
`$$Odds_{hombres}=\frac{0.21}{0.79}=0.27$$`
*La probabilidad de sobrevivencia en los hombres es 0.27 veces a la no sobrevivencia*
... o en otros términos
*Hay 0.27 hombres que sobreviven por cada uno que no sobrevive*
*Hay 27 hombres que sobreviven por cada 100 hombres que no sobreviven*
]
]
---
## Odds de superviviencia para las mujeres
.pull-left[
.medium[
```
##
## Hombre Mujer
## No sobrevive 0.79 0.25
## Sobrevive 0.21 0.75
```
El 75% de las mujeres sobrevive, mientras el 25% no sobrevive.
]
]
--
.pull-right[
.medium[
`$$Odds_{mujeres}=\frac{0.75}{0.25}=3$$`
*La probabilidad de sobrevivencia en las mujeres es 3 veces a la no sobrevivencia*
*Hay 3 mujeres que sobreviven por cada mujer que no sobrevive*
o en otros términos
*Hay 300 mujeres que sobreviven al titanic por cada 100 mujeres que no sobreviven*
]
]
---
## Odds ratio (OR)
.pull-left[
- los odds-ratio (o razón de chances) permiten reflejar la asociación entre las chances de dos variables dicotómicas
**¿Tienen las mujeres más chances de sobrevivir que los hombres?**
]
--
.pull-right[
.medium[
<table style="border-collapse:collapse; border:none;">
<tr>
<th style="border-top:double; text-align:center; font-style:italic; font-weight:normal; border-bottom:1px solid;" rowspan="2">survived</th>
<th style="border-top:double; text-align:center; font-style:italic; font-weight:normal;" colspan="2">sex</th>
<th style="border-top:double; text-align:center; font-style:italic; font-weight:normal; font-weight:bolder; font-style:italic; border-bottom:1px solid; " rowspan="2">Total</th>
</tr>
<tr>
<td style="border-bottom:1px solid; text-align:center; padding:0.2cm;">Hombre</td>
<td style="border-bottom:1px solid; text-align:center; padding:0.2cm;">Mujer</td>
</tr>
<tr>
<td style="padding:0.2cm; text-align:left; vertical-align:middle;">No sobrevive</td>
<td style="padding:0.2cm; text-align:center; "><span style="color:black;">523</span><br><span style="color:#339933;">79.5 %</span></td>
<td style="padding:0.2cm; text-align:center; "><span style="color:black;">96</span><br><span style="color:#339933;">24.7 %</span></td>
<td style="padding:0.2cm; text-align:center; "><span style="color:black;">619</span><br><span style="color:#339933;">59.2 %</span></td>
</tr>
<tr>
<td style="padding:0.2cm; text-align:left; vertical-align:middle;">Sobrevive</td>
<td style="padding:0.2cm; text-align:center; "><span style="color:black;">135</span><br><span style="color:#339933;">20.5 %</span></td>
<td style="padding:0.2cm; text-align:center; "><span style="color:black;">292</span><br><span style="color:#339933;">75.3 %</span></td>
<td style="padding:0.2cm; text-align:center; "><span style="color:black;">427</span><br><span style="color:#339933;">40.8 %</span></td>
</tr>
<tr>
<td style="padding:0.2cm; border-bottom:double; font-weight:bolder; font-style:italic; text-align:left; vertical-align:middle;">Total</td>
<td style="padding:0.2cm; text-align:center; border-bottom:double;"><span style="color:black;">658</span><br><span style="color:#339933;">100 %</span></td>
<td style="padding:0.2cm; text-align:center; border-bottom:double;"><span style="color:black;">388</span><br><span style="color:#339933;">100 %</span></td>
<td style="padding:0.2cm; text-align:center; border-bottom:double;"><span style="color:black;">1046</span><br><span style="color:#339933;">100 %</span></td>
</tr>
</table>
]
]
---
# Odds Ratio
**¿Cuantas más chances de sobrevivir tienen las mujeres respecto de los hombres?**
- OR supervivencia mujeres / OR supervivencia hombres
.medium[
`$$OR=\frac{p_{m}/(1-p_{m})}{p_{h}/(1-p_{h})}=\frac{0.753/(1-0.753)}{0.205/(1-0.205)}=\frac{3.032}{0.257}=11.78$$`
]
--
### Las chances de sobrevivir de las mujeres son **11.78** veces más que las de los hombres.
---
class: inverse, middle, center
## El Odds-Ratio (OR) nos permite expresar **en un número** la relación entre dos variables categóricas
## Por lo tanto, es una versión del `\(\beta\)` para dependientes categóricas
---
class: inverse, middle, center
## Pero ... el **OR** tiene algunas limitaciones que requieren una transformación adicional
---
class: inverse, bottom, right
# .red[Sesión 9]
<br>
Repaso sesión anterior
Introducción a regresión logística
.yellow[Estimación de Regresión logística]
<br>
<br>
<br>
<br>
---
# Regresión logística y odds
.pull-left[

]
.pull-right[
Una de las transformaciones que permite realizar una estimación de regresión con variables dependientes dicotómicas es el **logit**, que es logaritmo de los odds.
]
---
# Logit
`$$Logit=ln(Odd)=ln(\frac{p}{1-p})$$`
---
.small[
.pull-left[
## Probabilidades, odds y logit
]
.pull-right[
```
## prob odds logit
## 0.0010
## 0.0564
## 0.1119
## 0.1673
## 0.2228
## 0.2782
## 0.3337
## 0.3891
## 0.4446
## 0.5000
## 0.5554
## 0.6109
## 0.6663
## 0.7218
## 0.7772
## 0.8327
## 0.8881
## 0.9436
## 0.9990
```
]
]
---
.small[
.pull-left[
## Probabilidades, odds y logit
```r
df$odds <- df$prob/(1-df$prob)
df$logit <- log(df$odds)
```
]
.pull-right[
```
## prob odds logit
## 0.0010 0.0010 -6.907
## 0.0564 0.0598 -2.816
## 0.1119 0.1260 -2.072
## 0.1673 0.2010 -1.605
## 0.2228 0.2866 -1.250
## 0.2782 0.3855 -0.953
## 0.3337 0.5008 -0.692
## 0.3891 0.6370 -0.451
## 0.4446 0.8004 -0.223
## 0.5000 1.0000 0.000
## 0.5554 1.2494 0.223
## 0.6109 1.5700 0.451
## 0.6663 1.9970 0.692
## 0.7218 2.5942 0.953
## 0.7772 3.4888 1.250
## 0.8327 4.9761 1.605
## 0.8881 7.9374 2.072
## 0.9436 16.7165 2.816
## 0.9990 999.0000 6.907
```
]
]
---
.small[
.pull-left[
## Probabilidades, odds y logit
```r
df$odds <- df$prob/(1-df$prob)
df$logit <- log(df$odds)
```
]
.pull-right[
```r
## prob odds logit
## 0.0010 0.0010 -6.907
## 0.0564 0.0598 -2.816
## 0.1119 0.1260 -2.072
## 0.1673 0.2010 -1.605
## 0.2228 0.2866 -1.250
## 0.2782 0.3855 -0.953
## 0.3337 0.5008 -0.692
## 0.3891 0.6370 -0.451
## 0.4446 0.8004 -0.223
*## 0.5000 1.0000 0.000
## 0.5554 1.2494 0.223
## 0.6109 1.5700 0.451
## 0.6663 1.9970 0.692
## 0.7218 2.5942 0.953
## 0.7772 3.4888 1.250
## 0.8327 4.9761 1.605
## 0.8881 7.9374 2.072
## 0.9436 16.7165 2.816
## 0.9990 999.0000 6.907
```
]
]
---
.small[
.pull-left[
## Probabilidades, odds y logit
```r
df$odds <- df$prob/(1-df$prob)
df$logit <- log(df$odds)
```
]
.pull-right[
```r
## prob odds logit
*## 0.0010 0.0010 -6.907
## 0.0564 0.0598 -2.816
## 0.1119 0.1260 -2.072
## 0.1673 0.2010 -1.605
## 0.2228 0.2866 -1.250
## 0.2782 0.3855 -0.953
## 0.3337 0.5008 -0.692
## 0.3891 0.6370 -0.451
## 0.4446 0.8004 -0.223
*## 0.5000 1.0000 0.000
## 0.5554 1.2494 0.223
## 0.6109 1.5700 0.451
## 0.6663 1.9970 0.692
## 0.7218 2.5942 0.953
## 0.7772 3.4888 1.250
## 0.8327 4.9761 1.605
## 0.8881 7.9374 2.072
## 0.9436 16.7165 2.816
*## 0.9990 999.0000 6.907
```
]
]
---
# Estimación en R: `glm`
```
modelo <- glm(dependiente ~ indep 1 + indep2 + ...,
data=datos,
family="binomial")
```
- `glm` (general lineal model) es la función para variables dependientes categóricas
- `family="binomial"` indica que la dependiente es dicotómica
---
# Ejemplo Titanic
.pull-left[
```r
modelo_titanic <-
glm(survived ~ sex,
data = tt,
family = "binomial")
```
]
.pull-right[.small[
<table class="texreg" style="margin: 10px auto;border-collapse: collapse;border-spacing: 0px;caption-side: bottom;color: #000000;border-top: 2px solid #000000;">
<caption> </caption>
<thead>
<tr>
<th style="padding-left: 5px;padding-right: 5px;"> </th>
<th style="padding-left: 5px;padding-right: 5px;">Logit</th>
<th style="padding-left: 5px;padding-right: 5px;">OR</th>
</tr>
</thead>
<tbody>
<tr style="border-top: 1px solid #000000;">
<td style="padding-left: 5px;padding-right: 5px;">Intercepto</td>
<td style="padding-left: 5px;padding-right: 5px;">-1.354<sup>***</sup></td>
<td style="padding-left: 5px;padding-right: 5px;">0.258<sup>***</sup></td>
</tr>
<tr>
<td style="padding-left: 5px;padding-right: 5px;"> </td>
<td style="padding-left: 5px;padding-right: 5px;">(0.097)</td>
<td style="padding-left: 5px;padding-right: 5px;"> </td>
</tr>
<tr>
<td style="padding-left: 5px;padding-right: 5px;">Mujer (Ref=Hombre)</td>
<td style="padding-left: 5px;padding-right: 5px;">2.467<sup>***</sup></td>
<td style="padding-left: 5px;padding-right: 5px;">11.784<sup>***</sup></td>
</tr>
<tr>
<td style="padding-left: 5px;padding-right: 5px;"> </td>
<td style="padding-left: 5px;padding-right: 5px;">(0.152)</td>
<td style="padding-left: 5px;padding-right: 5px;"> </td>
</tr>
<tr style="border-top: 1px solid #000000;">
<td style="padding-left: 5px;padding-right: 5px;">AIC</td>
<td style="padding-left: 5px;padding-right: 5px;">1106.008</td>
<td style="padding-left: 5px;padding-right: 5px;">1106.008</td>
</tr>
<tr>
<td style="padding-left: 5px;padding-right: 5px;">BIC</td>
<td style="padding-left: 5px;padding-right: 5px;">1115.914</td>
<td style="padding-left: 5px;padding-right: 5px;">1115.914</td>
</tr>
<tr>
<td style="padding-left: 5px;padding-right: 5px;">Log Likelihood</td>
<td style="padding-left: 5px;padding-right: 5px;">-551.004</td>
<td style="padding-left: 5px;padding-right: 5px;">-551.004</td>
</tr>
<tr>
<td style="padding-left: 5px;padding-right: 5px;">Deviance</td>
<td style="padding-left: 5px;padding-right: 5px;">1102.008</td>
<td style="padding-left: 5px;padding-right: 5px;">1102.008</td>
</tr>
<tr style="border-bottom: 2px solid #000000;">
<td style="padding-left: 5px;padding-right: 5px;">Num. obs.</td>
<td style="padding-left: 5px;padding-right: 5px;">1046</td>
<td style="padding-left: 5px;padding-right: 5px;">1046</td>
</tr>
</tbody>
<tfoot>
<tr>
<td style="font-size: 0.8em;" colspan="3"><sup>***</sup>p < 0.001; <sup>**</sup>p < 0.01; <sup>*</sup>p < 0.05</td>
</tr>
</tfoot>
</table>
]
]
---
## Interpretación de asociaciones y contraste de hipótesis
### - Coeficiente logit asociado a sexo (mujer) = +2.467 :
- El log-odds de sobrevivencia aumenta para las mujeres en 2.467 en comparación con los hombres.
--
### Contraste de hipótesis
- La diferencia de las probabilidades de sobrevivir entre hombres y mujeres son estadísticamente significativas, por lo que se rechaza la hipótesis nula (de ausencia de diferencias entre hombres y mujeres) con un nivel de probabilidad `\(p<0.001\)`.
---
## Interpretación de coeficientes logit
- Sustantivamente no nos dice mucho, ya que el logit es una transformación de la escala original.
- Por lo tanto, para poder interpretar el sentido del coeficiente se requiere volver a la métrica de odds mediante una transformación inversa o **exponenciación**
---
## De logits a odds
.pull-left[
`$$logit_x=log(Odds)$$`
`$$e^{logit}=Odds_X$$`
`$$e^{2.467}=11.78$$`
]
.pull-right[
```r
exp(2.467)
```
```
## [1] 11.78703
```
### Las chances (odds) de sobrevivir siendo mujer son **11.78** veces más que las de un hombre.
]
---
## De logits a odds
`$$Odds_X=e^{\beta_0 + \beta_jX_j}$$`
<br>
--
- Predicción para **mujeres**= -1.354 + (2.467 * Sexo=1) = 1.113
- Predicción para **hombres**= -1.354 + (2.467 * Sexo=0) = -1.354
--
<br>
`$$Odds_{mujer}=e^{1.113}=3.032$$`
`$$Odds_{hombre}=e^{-1.354}=0.257$$`
---
## Transformación a probabilidades predichas
`$$p_{mujeres}=\frac{e^{1.113}}{1+e^{1.113}}=\frac{3.04}{4.04}=0.752$$`
`$$p_{hombres}=\frac{e^{-1.354}}{1+e^{-1.354}}=\frac{0.258}{1.258}=0.205$$`
---
## Regresión logística simple para independientes continuas
.pull-left[
```r
modelo_titanic_age <-
glm(survived ~ age,
data = tt,
family = "binomial")
```
]
.pull-right[.small[
<table class="texreg" style="margin: 10px auto;border-collapse: collapse;border-spacing: 0px;caption-side: bottom;color: #000000;border-top: 2px solid #000000;">
<caption> </caption>
<thead>
<tr>
<th style="padding-left: 5px;padding-right: 5px;"> </th>
<th style="padding-left: 5px;padding-right: 5px;">Logit</th>
<th style="padding-left: 5px;padding-right: 5px;">OR</th>
</tr>
</thead>
<tbody>
<tr style="border-top: 1px solid #000000;">
<td style="padding-left: 5px;padding-right: 5px;">Intercepto</td>
<td style="padding-left: 5px;padding-right: 5px;">-0.137</td>
<td style="padding-left: 5px;padding-right: 5px;">0.872</td>
</tr>
<tr>
<td style="padding-left: 5px;padding-right: 5px;"> </td>
<td style="padding-left: 5px;padding-right: 5px;">(0.145)</td>
<td style="padding-left: 5px;padding-right: 5px;"> </td>
</tr>
<tr>
<td style="padding-left: 5px;padding-right: 5px;">Edad</td>
<td style="padding-left: 5px;padding-right: 5px;">-0.008</td>
<td style="padding-left: 5px;padding-right: 5px;">0.992</td>
</tr>
<tr>
<td style="padding-left: 5px;padding-right: 5px;"> </td>
<td style="padding-left: 5px;padding-right: 5px;">(0.004)</td>
<td style="padding-left: 5px;padding-right: 5px;"> </td>
</tr>
<tr style="border-top: 1px solid #000000;">
<td style="padding-left: 5px;padding-right: 5px;">AIC</td>
<td style="padding-left: 5px;padding-right: 5px;">1415.383</td>
<td style="padding-left: 5px;padding-right: 5px;">1415.383</td>
</tr>
<tr>
<td style="padding-left: 5px;padding-right: 5px;">BIC</td>
<td style="padding-left: 5px;padding-right: 5px;">1425.288</td>
<td style="padding-left: 5px;padding-right: 5px;">1425.288</td>
</tr>
<tr>
<td style="padding-left: 5px;padding-right: 5px;">Log Likelihood</td>
<td style="padding-left: 5px;padding-right: 5px;">-705.691</td>
<td style="padding-left: 5px;padding-right: 5px;">-705.691</td>
</tr>
<tr>
<td style="padding-left: 5px;padding-right: 5px;">Deviance</td>
<td style="padding-left: 5px;padding-right: 5px;">1411.383</td>
<td style="padding-left: 5px;padding-right: 5px;">1411.383</td>
</tr>
<tr style="border-bottom: 2px solid #000000;">
<td style="padding-left: 5px;padding-right: 5px;">Num. obs.</td>
<td style="padding-left: 5px;padding-right: 5px;">1046</td>
<td style="padding-left: 5px;padding-right: 5px;">1046</td>
</tr>
</tbody>
<tfoot>
<tr>
<td style="font-size: 0.8em;" colspan="3"><sup>***</sup>p < 0.001; <sup>**</sup>p < 0.01; <sup>*</sup>p < 0.05</td>
</tr>
</tfoot>
</table>
]
]
---
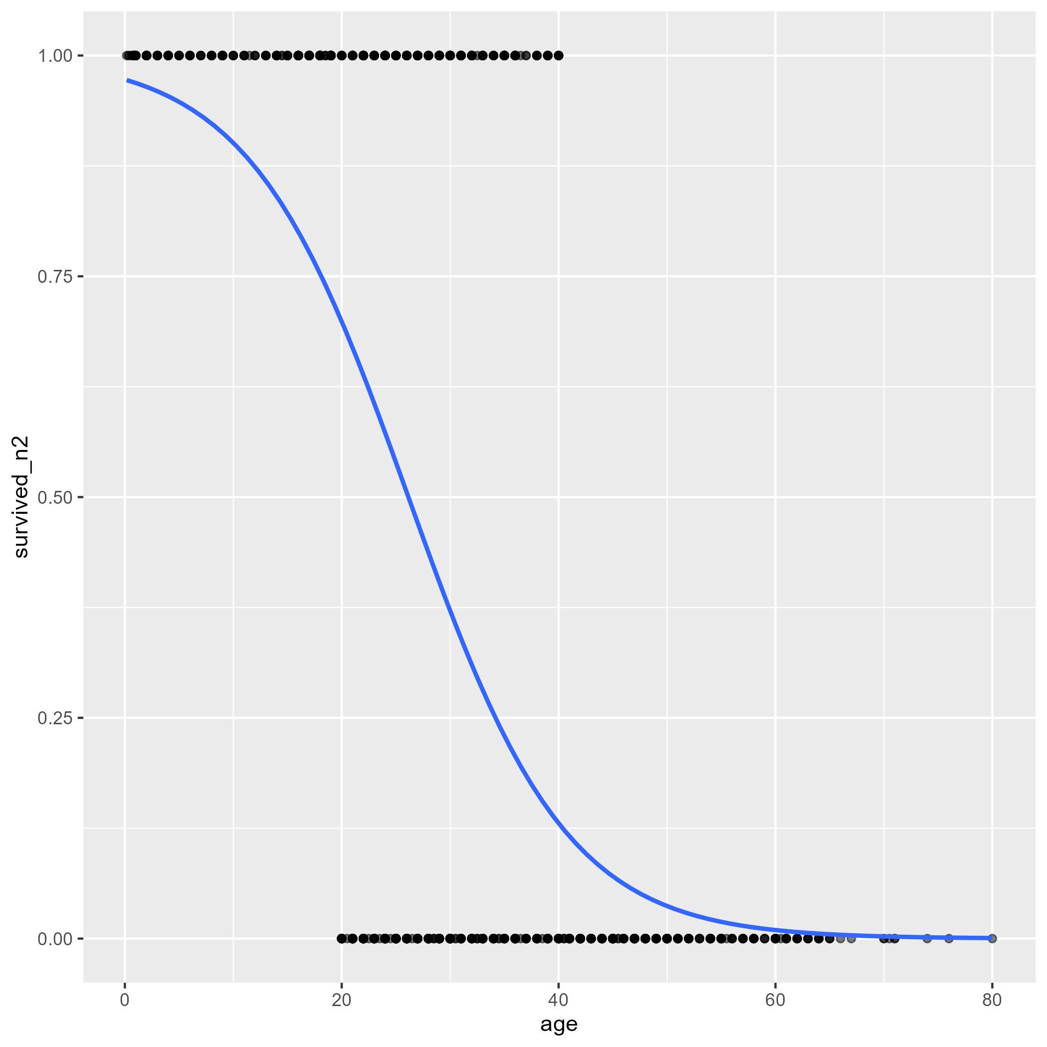
## Plot probabilidades predichas
.center[

]
---
# Regresión logística multiple
.pull-left[
```r
modelo_titanic2 <-
glm(survived ~ sex + age,
data = tt,
family = "binomial")
```
]
.pull-right[.small[
<table class="texreg" style="margin: 10px auto;border-collapse: collapse;border-spacing: 0px;caption-side: bottom;color: #000000;border-top: 2px solid #000000;">
<caption> </caption>
<thead>
<tr>
<th style="padding-left: 5px;padding-right: 5px;"> </th>
<th style="padding-left: 5px;padding-right: 5px;">Logit</th>
<th style="padding-left: 5px;padding-right: 5px;">OR</th>
</tr>
</thead>
<tbody>
<tr style="border-top: 1px solid #000000;">
<td style="padding-left: 5px;padding-right: 5px;">Intercepto</td>
<td style="padding-left: 5px;padding-right: 5px;">-1.23<sup>***</sup></td>
<td style="padding-left: 5px;padding-right: 5px;">0.29<sup>***</sup></td>
</tr>
<tr>
<td style="padding-left: 5px;padding-right: 5px;"> </td>
<td style="padding-left: 5px;padding-right: 5px;">(0.18)</td>
<td style="padding-left: 5px;padding-right: 5px;"> </td>
</tr>
<tr>
<td style="padding-left: 5px;padding-right: 5px;">Mujer (Ref=Hombre)</td>
<td style="padding-left: 5px;padding-right: 5px;">2.46<sup>***</sup></td>
<td style="padding-left: 5px;padding-right: 5px;">11.71<sup>***</sup></td>
</tr>
<tr>
<td style="padding-left: 5px;padding-right: 5px;"> </td>
<td style="padding-left: 5px;padding-right: 5px;">(0.15)</td>
<td style="padding-left: 5px;padding-right: 5px;"> </td>
</tr>
<tr>
<td style="padding-left: 5px;padding-right: 5px;">Edad</td>
<td style="padding-left: 5px;padding-right: 5px;">-0.00</td>
<td style="padding-left: 5px;padding-right: 5px;">1.00</td>
</tr>
<tr>
<td style="padding-left: 5px;padding-right: 5px;"> </td>
<td style="padding-left: 5px;padding-right: 5px;">(0.01)</td>
<td style="padding-left: 5px;padding-right: 5px;"> </td>
</tr>
<tr style="border-top: 1px solid #000000;">
<td style="padding-left: 5px;padding-right: 5px;">AIC</td>
<td style="padding-left: 5px;padding-right: 5px;">1107.34</td>
<td style="padding-left: 5px;padding-right: 5px;">1107.34</td>
</tr>
<tr>
<td style="padding-left: 5px;padding-right: 5px;">BIC</td>
<td style="padding-left: 5px;padding-right: 5px;">1122.20</td>
<td style="padding-left: 5px;padding-right: 5px;">1122.20</td>
</tr>
<tr>
<td style="padding-left: 5px;padding-right: 5px;">Log Likelihood</td>
<td style="padding-left: 5px;padding-right: 5px;">-550.67</td>
<td style="padding-left: 5px;padding-right: 5px;">-550.67</td>
</tr>
<tr>
<td style="padding-left: 5px;padding-right: 5px;">Deviance</td>
<td style="padding-left: 5px;padding-right: 5px;">1101.34</td>
<td style="padding-left: 5px;padding-right: 5px;">1101.34</td>
</tr>
<tr style="border-bottom: 2px solid #000000;">
<td style="padding-left: 5px;padding-right: 5px;">Num. obs.</td>
<td style="padding-left: 5px;padding-right: 5px;">1046</td>
<td style="padding-left: 5px;padding-right: 5px;">1046</td>
</tr>
</tbody>
<tfoot>
<tr>
<td style="font-size: 0.8em;" colspan="3"><sup>***</sup>p < 0.001; <sup>**</sup>p < 0.01; <sup>*</sup>p < 0.05</td>
</tr>
</tfoot>
</table>
]
]
---
class: inverse
### Resumen
- regresión logística: ajusta el modelo para dependientes dicotómicas
- requiere de ajustes y transformaciones para que la estimación tenga sentido
- pasa por el cálculo de los odds-ratio, que resumen en 1 número la relación entre dos variables categóricas
- En regresión logística la interpretación sustantiva de coeficientes se realiza con los odds-ratio (exponenciando los coeficientes logit)
---
class: front
.pull-left[
## Metodología Cuantitativa Avanzada
## **Kevin Carrasco**
## Magíster en ciencias sociales - Universidad de Chile
## 1er Sem 2025
## [.green[metod2-mcs.netlify.com]](https://metod2-mcs.netlify.com)
]
.pull-right[
.right[
<br>
## .yellow[Sesión 9: Regresión logística]

]
]